|
Search
Property Data
Spectra Data
Analysis Data
Help
我的账户

MOLINSTINCTS ID:
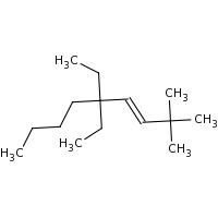
Formula:
C15H30
IUPAC Name:
(3E)-5,5-diethyl-2,2-dimethylnon-3-ene
SMILES:
CCCCC(CC)(CC)C=CC(C)(C)C
InChI:
InChI=1/C15H30/c1-7-10-11-15(8-2,9-3)13-12-14(4,5)6/h12-13H,7-11H2,1-6H3/b13-12+
引用此记录:
本最终用户许可协议(以下简称 "协议")是北京艾森中科科技有限公司(以下简称 "艾森中科")与客户(个人或实体,以下简称 "被许可人")之间具有法律约束力的协议。本协议的条款和条件适用于使用某些艾森中科拥有的数据库、计算机程序、软件、特性、功能和与 Mol-Instincts 相关的服务、相关在线数据、从艾森中科服务器下载的数据、数据载体、信息、可执行对象代码、 视频、图像、任何印刷或电子材料、文件、在许可人的组织内构建的 Mol-Instincts 数据库服务器的软件和硬件,以及由 艾森中科 提供的任何 "在线"、"离线 "或电子文档(以下统称 "本产品")。根据本协议书,本产品受版权保护并在本协议下许可给被许可人使用。通过选择"...接受... "或"...同意... "或 "创建 "选项按钮,或通过复制或以其它方式使用本产品,被许可人同意受本协议条款的约束。本协议书优先于产品中嵌入的任何其他协议或条款。如果您不同意本协议书的任何条款或条件,请不要下载、订购、打开、安装或使用本产品。
2. 艾森中科的义务
艾森中科将为第1条所述的产品设置和激活用户帐户,并在收到全额付款后三个(3)工作日内通过电子邮件向许可人提供用户帐户信息。艾森中科也将在本协议的许可期限内发送电子邮件。
7. 保密
本产品为机密信息。未经艾森中科事先书面许可,被许可人同意不得以任何形式向任何第三方转让、复制、提供或以其他方式提供该等机密信息。被许可人同意至少用保护被许可人自己的机密信息同样谨慎的态度来维护产品的机密性。未经艾森中科事先书面同意,被许可人不得转让或转移本条款与条件或本协议项下的任何权利和义务,艾森中科可基于任何理由自行决定拒绝许可。
9. 终止或取消
如果一方违反本协议的任何条款或条件,且未能在书面通知该违约行为后七(7)天内对该违约行为进行补救,则任何一方均可终止或取消本协议。如果被许可人未能向艾森中科支付本协议项中要求支付的任何款项,或参与任何未经授权的产品使用,艾森中科可以立即终止本协议和/或单独协议。在本协议终止或取消的情况下,艾森中科可以宣布其在本协议项下的所有款项立即到期应付。
10. 付款
10.1 许可和服务费许可和服务费用由被许可人提前支付。除非本协议中另有规定,艾森中科开具的发票应由被许可人在发票开具之日起十五(15)个工作日内全额支付。被许可人未能在发票日期后的十五(15)个工作日内全额付款将使本协议无效,艾森中科没有义务根据本协议第1条和第2条提供任何许可和服务。
10.2 付款除非协议另有规定,所有付款均应以人民币支付。被许可人应支付所有款项,不得抵销、反诉或其他抗辩。
10.3 税款如果被许可人被要求对协议项下的任何应付款项预扣税款,则被许可人应负责支付该税款,被许可人应负责可能适用的任何此类税款或关税(包括但不限于销售和使用税、消费税、增值税、消耗税或商品和服务税)。如果艾森中科被要求向被许可人收取任何税款,被许可人应支付此类发票税款,艾森中科将收取的税款汇往相应的税务管辖区。
10.4 转让权艾森中科可以向代理人转让艾森中科根据本协议书收取任何和所有款项的权利。该转让不应影响或免除艾森中科对被许可人的任何义务和责任。代理人不会承担艾森中科对被许可人的任何义务或责任。被许可人应根据艾森中科或代理人的合理要求,及时签署任何附属文件,并采取与该项转让相关的进一步行动,包括但不限于转让通知和授权证书。尽管有上述第9条规定的任何终止或取消,被许可人应根据协议的条款并根据艾森中科的指示,向代理人支付任何未支付的许可和服务费用,不得扣除或抵消,尽管被许可人可能对艾森中科提出任何索赔或抗辩。
10.5 退款政策由于我们产品的性质,我们不设置退款政策。与实物商品不同,电子分发的材料可能会被复制,一旦购买,我们就不可能收回我们的数据。因此,一旦您购买,我们将无法提供退款。此政策没有例外。
11. 免责声明
该产品是按“原样”提供的。艾森中科声明并保证其有权授予本协议授予的许可。此外,艾森中科不作任何形式(明示或暗示)的保证,包括但不限于不侵权、性能保证、适销性、特定用途的适用性、准确性、遗漏、完整性、正确性、延迟,以及从被许可人使用产品中获得的结果的保证。艾森中科不保证产品的运行将不间断或无错误。艾森中科也不对任何统一资源定位符的寿命做任何保证。被许可人承认,提供产品可能会导致一些人为和机器错误、延误、中断和损失,包括产品的无意损失。在不受上述限制的情况下,艾森中科明确不保证产品将满足被许可人的要求。被许可人有责任选择产品以达到被许可人预期的结果,并对被许可人使用产品所获得的结果负责。被许可人应承担产品质量和性能的全部风险。
12. 责任限制
12.1 排除损害赔偿在任何情况下,艾森中科不对被许可人因使用或无法使用本产品而产生的任何损害(包括但不限于特殊的、间接的、惩罚性的、惩戒性的、附带的或后果性的损害、利润或收入损失的损害、业务中断、数据或信息丢失)承担任何责任。艾森中科不对损害赔偿或任何其他索赔负责,无论是侵权、合同、疏忽或其他。被许可人完全同意,被许可人将对数据的使用承担全部责任,包括与被许可人自己的决定、解释、处理、测试和转让有关的所有活动。
12.2 第三方供应商产品可能包含第三方提供的功能,包括开发人员、销售商、供应商、承包商或顾问。在任何情况下,第三方均不对任何直接的、间接的、特殊的、惩罚性的、惩戒性的、附带的或间接损害,或因本协议引起的任何损害承担责任。产品中的第三方产品组件或艾森中科提供的其他组件不得独立于产品使用。
12.3 责任限制被许可人在此承认并同意,在任何情况下,对于与本条款与条件的执行、履行或标的有关的任何成本、损失、损害或其他潜在或实际费用,艾森中科的总责任不得超过被许可人支付给艾森中科的费用金额,无论采取何种形式的行动。使用本条款下的任何产品,并不意味着艾森中科有义务继续开发、产品化、支持、维修、提供销售或以任何其他方式继续向被许可人或任何其他方提供或开发产品。
13. 一般情况
13.1 赔偿。被许可人同意对艾森中科在以下情况下产生的所有损害、责任、律师费和成本进行赔偿并使其免受损害:(i)因被许可人使用产品而对艾森中科提出的第三方索赔或索赔威胁进行抗辩,或(ii)因违反本协议项下任何被许可人的义务、承诺或声明而导致的索赔。
13.2 审计权限。应艾森中科要求,被许可人应提供有关被许可人使用产品的数据,并/或允许艾森中科合理访问以检索此类数据。这些数据可能以软件日志文件或其他离散数据的形式,以电子或硬拷贝格式存在。除了为了执行艾森中科的权利外,艾森中科不得向任何第三方披露此类信息。
13.3 管辖法律与争议解决本协议的订立、效力、解释、履行和争议的解决均适用中华人民共和国法律。双方同意本协议的签订地为北京市怀柔区,并同意将因本协议引起的或与本协议有关的任何争议提交合同签订地有管辖权的法院诉讼解决。
13.4 完整协议。本条款与条件:(1)构成双方就条款与条件所述事项的完整和唯一声明;(2)双方拟作为其协议条款的最终表述;(3)取代所有其他书面或口头的协议、采购订单、谈判、陈述、招标文件和建议。除非以书面形式由艾森中科和用户的授权代表正式签署,否则不得修改本条款与条件。
13.5 可分割性。如果本条款的任何条款被任何有管辖权的法院全部或部分裁定为不可执行或无效,其余条款应在不与本条款的原始条款相抵触的范围内完全有效。
13.6 有效期第 5、6、7、8、9、10、11 和 12 条规定的义务在本协议终止或期满后继续有效。
14. 执行
各方授权代表特此签署本协议,其中包括本协议和所附隐私政策,以资证明。双方知情并明确同意上述条款和条件。各方均被授权代表其各自签署本协议。